일본 후쿠시마 원자력발전소 방사능 유출 사고 이후 시민 사이에서는 '방사능 낙진'에 대한 우려가 적잖다. 그러나 한국원자력안전기술원과 교육과학기술부에서는 "환경 기준치 이하의 방사선은 인체에 무해하다"고 주장하고 있다.
그러나 이들의 주장과 달리 "적은 양의 방사선이라도 인체에 악영향을 미친다"는 것이 의학적으로 타당한 판단이라는 지적이 제기됐다. 주영수 한림의대 교수는 지난 15일 서울 대학로 서울대 보건대학원에서 열린 '핵발전과 인류의 건강과 생명'이라는 토론회에서 이같은 내용이 담긴 미국 국립과학아카데미(NA)의 보고서를 소개했다.
| ▲BEIR(Biological Effects of Ionizing Radiation) 리포트, '저수준 전리방사능에 노출됐을 때의 건강 위험'의 표지 ⓒBEIR |
미국 국립과학아카데미가 내는 BEIR(Biological Effects of Ionizing Radiation) 리포트 시리즈는 방사선의 위험 측정과 미국의 방사능 방호 규제에 관한 가장 권위 있는 보고서로 알려져 있다. 미국 외에서도 이 보고서는 방사선 위험에 관한 가장 기본적인 자료로 사용된다.
"방사능 위험에 '역치'란 없다"
이 중 지난 2006년 발간된 7번째 보고서의 주제는 '저수준 전리방사능에 노출됐을 때의 건강 위험(Health Risk from Exposure to Low Level of Ionizing Radiation)'이다. 이 리포트에서 말하는 저수준 방사선이란 '0에서부터 100mSv(100미리시버트, 0.1Sv)' 사이의 방사능을 말한다.
이 보고서는 저수준 방사선 노출과 건강에의 영향 관계를 측정하는 '위험 모델'에 대해 소개하고 있다. 이에 따르면 저수준 방사선 노출에 따른 고형암 발생률은 선형-무역치(Linear No Threshold Model, LNT)로, 백혈병 발생률은 선형-2차곡선 모델(Linear Quadratic Model)로 설명된다.
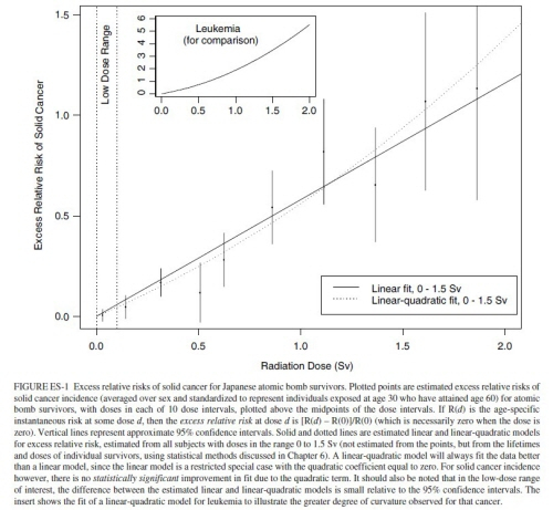
| ▲BEIR 리포트에 인용된 표. 직선 그래프는 저수준 방사능과 고형암 발생 위험 간의 관계를, 점선 그래프는 저수준 방사능과 백혈벙 발벙 위험 간의 관계를 나타내는 그래프다. ⓒBEIR |
이 모델의 중요성은 방사선량에서는 인체에 반응을 일으키는 최소치를 뜻하는 '역치'가 없다고 보는데 있다. 한국원자력안전기술원 등에서는 "기준치 이하의 방사능 노출은 안전하다"고 주장하고 있으나 실제로는 기준치 이하의 적은 양의 방사선이라도 암이나 백혈병 발생 위험을 높인다는 것.
"Despite the challenges associated with understanding the health effects of low-LET radiation, current knowledge allows several conclusions. The BEIR 7 committee concludes that current scientific evidence is consistent with the hypothesis that there is a linear dose-reponse relationship between exposure to ionizing radiation and the development of radiation-induced solid-cancers in humans. The committee further judges it unlilkely that a threshold exists for the induction of cancers but notes that the occurrence of radiation-induced cancers at low doses will be small."
("저수준 전리 방사선이 건강에 미치는 영향을 이해하려는 여러 번의 시도에도 불구하고, 현재의 지식 수준은 여러가지 결론을 가능케한다. BEIR7 위원회는 현재의 과학적 증거들은 일관되게 전리방사선 노출과 방사선에 유도된 고형암의 인체 발생률 사이의 선형 모델 가설을 뒷받침한다고 결론을 내렸다. 또한 위원회는 암을 유도하는 '역치'는 존재하지 않는다고 판단하며, 그러나 적은 수준의 방사능으로 유도된 암발병률은 낮음을 지적한다.")
주영수 한림의대 교수는 "이는 저수준 방사능이 건강에 미치는 영향을 설명하는 모형으로서는 대부분 과학적으로 동의된 모델"이라며 "이 모델은 방사능은 저수준이라도 문제가 되며, 노출량이 많아질 수록 문제가 커진다는 것을 지적한다"고 말했다.
또 100미리 시버트는 1%의 암 발병 위험을 높이는 것으로 나타났다. 이 보고서에 인용된 표를 보면 10만 명이 100미리시버트에 노출되면 800~1300명은 초과로 고형암이 발생하며 이중 400~600명 가량이 사망에 이르는 것으로 나타났다. 평균적으로 10만 명 가운데 1000명에게서 암이 추가로 발병했다고 본다면, 100미리시버트는 1%의 암 발병 위험을 높인다고 볼 수 있는 결과다.
| ▲ 10만 명이 100미리시버트에 노출됐을 때 추가로 발병할 암과 백혈병 예측치를 나타낸 표. ⓒBEIR |
미국방사선방어측정심의회(NCRP)의 연구에서는 일반인에게 허용된 방사선량 수치인 1미리시버트도 노출될 경우 1만 명 당 1명 정도가 치명적인 암이 발생하는 것으로 나타난다.
"2.4미리시버트는 평균값일 뿐, 건강에 무해할 정도 아냐"
한국원자력안전기술원 등이 "생활 주변으로부터 1년에 약 2.4밀리시버트의 자연방사선을 받으며 인체에 별다른 영향을 주지 않는다"고 주장하고 있는 것을 두고도 주 교수는 "2.4미리시버트는 세계 평균값을 말하는 것으로 '건강에 문제가 없다'는 수준이 아니다"라고 반박했다.
방사선량 1미리시버트는 일상생활에서 일반인의 연간 노출 한도이고 보통 2.4미리시버트는 일상생활에서의 연간 노출량으로 소개된다. 주 교수는 "일본의 평균 노출량은 1.5미리시버트, 한국은 2.2미리시버트라는 보고가 있는 것처럼 지역마다 차이가 있다"며 "만약 연간 노출량이 2.4미리시버트인 지역이 있다면 1미리시버트인 지역에 비해 암 발생 위험도가 더 높아지는 것"이라고 지적했다.
특히 주 교수는 일부 원자력의학 전문가가 일부의 사례를 인용하며 "저선량의 방사능 노출은 건강에 좋을 수 있다(호메시스 이론)"고 주장한 것을 두고 "이해할 수 없는 심각한 주장"이라며 우려를 표시했다. 이 보고서에서도 "낮은 방사선량에 의한 결과일수록, 우연에 의한 결과(purely chance occurrence)일 가능성이 높다"고 판단하고 있다.
주 교수는 "일부 학자들이 '일정 방사선에 노출된 어떤 지방에서는 오히려 암이 적게 발생했다'는 주장을 하는데 방사선 노출에 건강에 좋다는 식의 주장은 에러 범주 안에 있는 사례일 뿐 그렇게 과하게 단정적으로 이야기하는 것은 적절하지 않다"고 꼬집었다.



전체댓글 0